Chemistry is the study of the substances that make up matter. It looks at their properties, how they react with each other, and how these reactions can create new substances.
-
Question 1421: Which of the following solutions will conduct the least amount of electricity?
Options:
A) 2.00 M aqueous solution of NaOH
B) 0.01 M aqueous solution of NaOH
C) 0.01 M aqueous solution of hexanoic acid
D) 0.01 M aqueous solution of sugar
Show Answer
The correct answer is D .
-
Question 1422: Which property of a reversible reaction is affected by a catalyst?
Options:
A) Heat content (enthalphy)
B) Energy of activation
C) Free energy change
D) Equilibrium position
Show Answer
The correct answer is B .
-
Question 1423: According to charles' law, the volume of a gas becomes zero at
Options:
A) 0 oC
B) -100 oC
C) -273 oC
D) -373 oC
Show Answer
The correct answer is C .
-
Question 1424:
An element used in the production of matches is
Options:
A) nitrogen
B) aluminium
C) copper
D) sulphur
Show Answer
The correct answer is D .
-
Question 1425: Natural water collected from rivers and ponds contain oxygen, carbon (IV) oxide and
Options:
A) nitrogen
B) hydrogen
C) chlorine
D) sulphur
E) oxide
Show Answer
The correct answer is A .
-
Question 1426:
1.00 g of the oxide of metal X (atomic mass = 64) gave 0.80 g of the metal when reduced with hydrogen.
The formula of the oxide is?
Options:
A) X2O
B) XO
C) XO2
D) X2O3
E) X3O4
Show Answer
The correct answer is B .
-
Question 1427:
Which of the following is a common property of non-metals?
Options:
A) Exist as solids at room temperature
B) Tend to gain electrons in chemical reactions
C) High thermal conductivity
D) Readily form cations in chemical reactions
Show Answer
The correct answer is B .
-
Question 1428:
The shapes of water, ammonia, carbon (iv) oxide and methane are respectively
Options:
A) linear, tetrahedral, angular and pyramidal
B) angular, pyramidal, linear and tetrahedral
C) pyramidal, linear, tetrahedral and angular
D) tetrahedral, angular, pyramidal and linear
Show Answer
The correct answer is B .
-
Question 1429: A decrease in atomic size and an increase in nuclear charge across a period lead to
Options:
A) an increase in the tendency to lose electron
B) an increase in chemical reactivity
C) a decrease in electropositivity
D) a decrease in covalency in bond formation
Show Answer
The correct answer is B .
-
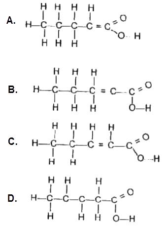
Question 1430:

Use the options above to answer this question. Which is the structural formula for pent-2-enoic acid?
Options:
A) A
B) B
C) C
D) D
Show Answer
The correct answer is C .